Relativists use what is called a ‘photon clock’ or ‘light clock’ to illustrate the ‘fact’ of time dilation and also to calculate the time dilation factor ‘γ’. The clock consists of two parallel mirrors with a photon / light particle bouncing back and forth between them.
If the mirrors are 1meter apart, the photon travelling at speed ‘c’(3×108m/sec) will take 6.67 nanoseconds to complete one round trip i.e. for the light particle going from one mirror to the other mirror and getting reflected back to the first mirror thus travelling a total distance of 2meters. If each round trip is taken as one ‘tick’, then the light clock ‘ticks’ about 150 million times in one second. So we must imagine that the ‘light clock’ is a highly sensitive and accurate device to measure time.
Let’s see how the distorted minds of relativists use a light clock to explain the weird phenomenon of time dilation and also derive the weird formula to calculate the amount of time dilation experienced by a moving clock or any moving object. Any sane person will then immediately realize that relativists are the weirdest thinkers on Earth.
First as usual they start with their mantra of constant speed of light by which they mean that light always travels at speed ‘c’ (3×108m/sec) irrespective of the motion of the observer. Also the light beam’s speed apparently remains the same and doesn’t get ‘boosted’ by the motion of the light source. Sadly they drag Maxwell into their ugly theory and misinterpret his work to justify their weird thinking. They ‘blame’ that it is Maxwell’s equations that forced them to arrive at the weird law of constant speed of light. I have explained elsewhere why this law of constant speed of light is utterly weird, and exposed relativists’ distorted interpretation of various experiments, but for now let us believe in their superstitious law.
Relativists’ light clock and time dilation
Imagine that we are in a train which is moving at a very high speed ‘v’ with respect to the platform and also imagine that we have a light clock with us. While we are inside the train and are watching how our light clock ticks, our stupid relativists are standing on the platform and are also watching the same clock.
According to us inside the train, the light photon travels a distance of 2meters for ‘ticking’ once. But our stupid friends on the platform see something different: they see the same photon travelling a much longer distance taking a double diagonal path as shown above for the same event i.e. to make one tick. So we both disagree on the distance travelled by the photon during each tick of the clock. Of course they are not stupid until this point.
Their stupidity starts now: because the light photon must be travelling at the same speed ‘c’ to all observers whether someone is on the platform or inside the train (I said we believe them for now!) how can the platform observer see the photon travelling a longer distance during the same ‘tick’ of time? How can we agree upon the speed of the photon but not the distance travelled by it in one ‘tick’ of time? Because speed is distance/time, the only way one can preserve the idea of constant speed of light is by proposing ‘time dilation’ for the moving clock. So from the perspective of the stupid observers on the platform, each ‘tick’ must be occurring slower in the moving frame or in other words, each second passes slower in the moving frame. This slower passage of time apparently allows the photon to travel the longer distance noted by the stationary observers.
Of course we moving on the train don’t feel this weird thing called time dilation and everything looks normally ‘passing’ for us including the ticking of our light clock. That’s because the proposed time dilation is in comparison to a ‘stationary’ light clock in the hands of our stupid friends standing on the platform. So it is with reference to their stationary clock they propose time dilation as happening in our frame. We haven’t seen the time in their clock so we can’t deny what they tell us. Of course they haven’t seen our clock either but they ‘know’ what is happening to our clock because that is what is inferred from the law of constant speed of light.
Hats off to relativists for their brave though stupid explanation! Now that they have ‘proved’ that time dilation is in fact a ‘real’ phenomenon, it is time for us to learn to quantify this weird phenomenon.
Time dilation factor ‘γ’
To calculate how much ‘time dilation’ occurs in a moving frame, first the relativists calculate how long each tick is in a stationary light clock and then calculate how long each tick is in the moving clock. In doing so, they chant the mantra of constant speed of light as they always do.
How long is each tick when the clock is stationary? Imagine that the stupid observers have got a light clock with them on the platform. According to them, the photon in their clock travels a total distance of 2meters during each tick. Because they know that a photon always travels with speed ‘c’, they can calculate how long the photon takes to travel the 2meters distance and by this they know how long each tick is in the stationary clock’s frame.
Distance travelled by the photon during each tick = 2meters
Speed of photon = c
We know that ‘speed = distance/ time’,
so, time taken =distance travelled / speed
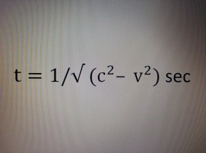
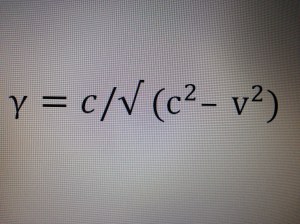
So time elapsed during each tick in the stationary clock = 2/c sec — equation 1
Each tick for the moving clock – According to the stupid observers on the platform, the photon in our light clock moves along the diagonal path (as shown in the picture) during its flight from the bottom mirror to the top one.
If the photon takes time‘t’ for this one way flight, and because ‘c’ is its velocity (as per the weird mantra of relativity), then the length of the diagonal becomes ‘ct’ (distance= time x speed).
From the above right angled triangle, one can calculate the distance ‘ct’ using Pythagoras theorem –
(ct)2= 12+(vt)2
(ct)2 – (vt)2 = 1
t2(c2 – v2) = 1
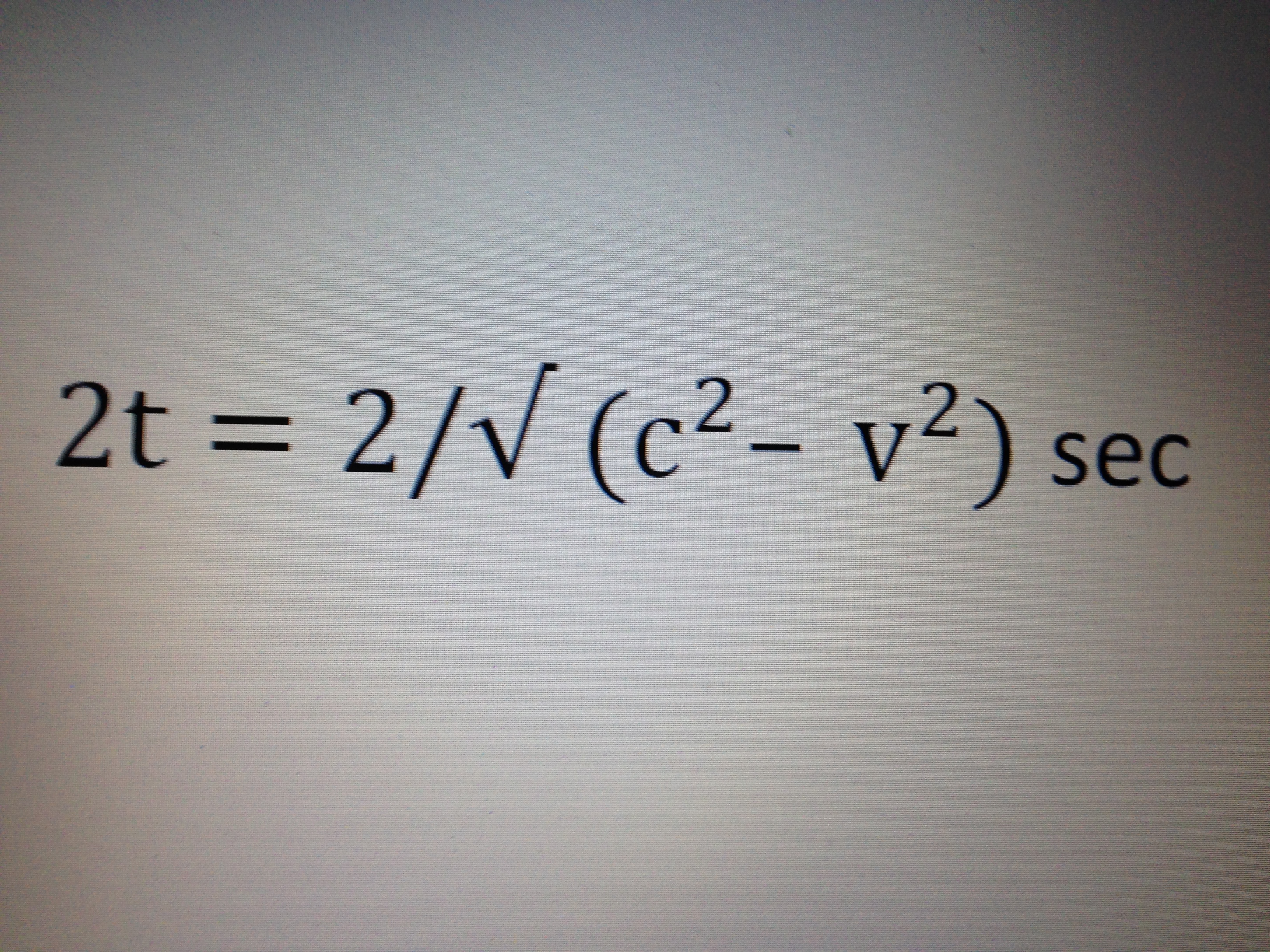
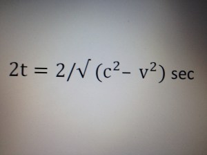
This ‘t’ is the time taken by the photon for the one way flight. For the round trip it takes ‘2t’. So each tick in the moving clock is equivalent to –
This is what the stupid ‘platformers’ calculate how long each tick is for the moving clock in the train. So each tick in the moving clock is longer than that in their stationary clock.
The time dilation factor ‘γ’ = length of each tick in the moving frame / length of each tick in the stationary clock (equation 2 / equation 1), i.e.
After little bit of juggling, the same can be written as
They emphasize that this weird phenomenon is not something that only light clocks experience. Because time itself slows down in moving frames, all clocks and processes will slow down exactly by the same factor as determined by the time dilation factor.
Don’t expect that we have come to the end of their ridiculous theory having arrived at the ridiculous equation of time dilation. The ridiculous thinkers go on relentlessly with their ridiculous thinking and after a while they build what is called the Minkowski’s 4-dimensional spacetime. In this weird spacetime, all objects apparently move at the cosmic speed limit ‘c’ which is nothing but the speed of light.
That is to say that everything in this universe (including us sitting in our room, struggling to make sense of the silly theory of relativity!) is moving at speed ‘c’ through this weird 4D spacetime. The only difference between us sitting in our room and the light photons is that, we travel at speed ‘c’ solely in the direction of time and not at all in the direction of space, while it is just the opposite for the photons- they travel at speed ‘c’ in the space direction and not at all in the time direction.That is the reason why light photons don’t experience time at all! Others (a motorcyclist or an astronaut in a spaceship) travel partly in space direction and partly in the time direction.
So we all (including the light photons, the astronauts etc) are moving at the same speed ‘c’ through the 4D spacetime, and we only differ in the direction we travel; the more one travels in the space direction, the less one travels in the time direction.
The weird thinkers then develop what is called the spacetime momentum vector and go on to deduce the most famous equation ‘E=mc2’ that mesmerized the entire human race for almost a century. The stupid people believe that a photon is massless but its momentum ‘mc’ is not zero. Of course the weird thinkers have got their own weird explanation for that (as they always do for any weird phenomenon they propose). I have addressed these issues elsewhere in the book.
Having religiously followed what the stupid relativists teach, and tried our level best to understand how these weird minds think, it is time for us to regain our rational thinking and come out of the stupid folk’s world. If we wander too long in their weird world, we may risk meeting the same fate as did the relativists.
Logical Objections
Though the stupid relativists are obsessive about vectors and directions while describing motion of objects in their weird 4-D spacetime and while deducing their famous but silly equation of E=mc2, they simply ignored the existence of vectors and directions in the 3-D space from where they built their weird theory. Relativists are the best logicians but only as long as the logic supports their weird theory. The minute logic appears to confront their weird theory; they turn themselves into the weirdest thinkers and overthrow even the most straight forward logic. Another trait of relativists is that they can be both stupid and intelligent at the same time just like the Schrodinger’s cat which is both dead and alive at the same time.(So relativists while arguing for relativity are actually proving the quantum theory!)
These stupid intelligent minds ignore the fact that velocity is a vector in our 3D world too. They don’t bother about the direction when they say light travels with velocity ‘c’. In the above scenario of light clock, we in the train see the light photon travelling with velocity ‘c’ towards the top mirror i.e towards north during the first half of its flight. According to us, the light particle travels 1meter distance north wards to reach the top mirror.
And this remains the same even from the perspective of a sane observer on the platform: the photon travels northward with velocity ‘c’ and it travels a total distance of 1meter in that direction before it gets reflected back. So we both agree on the velocity of the photon and the distance travelled by it in that direction. It is only the weird thinking relativist who disagrees on the distance travelled (having lost the ‘direction sense’).
Of course, according to the sane observer on the platform, the photon not only moves north ward with velocity ‘c’, but it also moves east ward with velocity ‘v’ which is nothing but the velocity of the train. If ‘c’ is the north ward velocity and ‘v’ is the east-ward velocity of a particle, its diagonal velocity (u) can’t be equal to ‘c’. Any sane person would deduce the diagonal velocity of a particle as shown below using the Pythagoras theorem
u2 = c2 + v2
So here is a particle which is travelling at velocity ‘c’ northwards, velocity ‘v’ eastwards and velocity √c2+v2 diagonally. The stupidity of constant velocity of light is immediately obvious here to any sane person. If a weird particle can travel with the same velocity both vertically, diagonally and horizontally, then it must also be travelling in all directions with the same velocity at the same time.
I am sure the relativists now turn to the weird quantum theory, another illogical and poorly understood theory of modern physics which preaches that a particle travels in all possible paths simultaneously as it moves from one point to another. Despite vast differences between what relativity and quantum theories preach, both concord in one aspect – they preach that our world is weird and hence doesn’t yield itself to logical deductions.
Any sane person can immediately discard the idea of a photon travelling simultaneously in all directions with velocity ‘c’, but because the weird theory of relativity is so deeply driven into the society and is adored by both physicists and the lay people, I am taking the extra strain of explaining some silly consequences of that weird notion.
If a light photon travels simultaneously in all directions, a torch shone in one direction should illuminate things in every direction uniformly and not just in the direction it is shone. Light can’t be focused and Lasers don’t work as we wish them. Many concepts in optics like angle of incidence, angle of reflection etc become meaningless if light travels in all directions simultaneously. And also, we should be able to build a photon clock with mirrors arranged at right angles to each other (instead of facing each other). And we should be able to look ourselves in a mirror by standing behind it! There is no end to the list of absurdities that result from the stupid assumption of constant speed of light and its consequence of photon ‘wandering’ in every direction with speed ‘c’.
How stupidity always ‘wins’ over Logic
To discover more of the stupidity of relativists, let’s dig deeper Into their weird world with three photon clocks (A, B and O).
Imagine that clock ‘A’ is in a train moving in the west ward direction with velocity ‘v’ and clock ‘B’ is in a train moving in the east ward direction at the same velocity ‘v’ while our stupid relativist stands on the platform with clock ‘O’. Imagine that all three clocks were synchronised and read ‘0 sec’ just as the trains set off from the same place where our stupid observer stands. 
Reference frame of the stupid relativist (clock O)
According to the stupid relativist on the platform, clocks A and B run slower than his stationary clock O. Because they are moving with equal velocity, clocks A and B experience equal time dilation with respect to the clock O (as per their own stupid formula) and hence should show the same time.
Imagine that as clock ‘O’ of our stupid observer ticks 100sec, clocks A and B ‘obey’ the stupid formula and tick only 96sec due to time dilation. So in the reference frame of the stupid relativist, clocks A and B tick 96sec when his clock ‘O’ ticks 100sec.
Reference frame of Clock A
Because motion is a relative thing, we sitting with clock A in the west ward moving train can claim to be at rest and propose that it is the stupid observer on the platform who is actually moving away (with his clock O) at velocity ‘v’. So according to us, it is the stupid observer’s clock that should actually be experiencing the time dilation and hence must be ticking slower. So if our clock ticks 100sec, then clock O on the platform must read only 96sec applying the same mathematics of time dilation. But this is contrary to what the stupid relativist calculated earlier.
Don’t think that we have toppled the stupid theory- relativists will always have a stupid way out to save their weird theory from any such embarrassment. The stupid relativists now turn highly scientific and argue –
“How can you be sure that clock O ticks only 96sec while clock A ticks 100sec? Because both these clocks are far apart in space you can’t obviously see their readings at the same time. So to confirm your calculations and the readings, you need to bring both clocks together”
(Remember, they didn’t do this when they ‘confirmed’ that time dilation is a real phenomenon for the moving clock. Rather they simply used their weird formula and predicted that our moving clock ticked slower than their stationary stupid clock but they never told us to bring both the clocks together to confirm this discrepancy. But then, it was our mistake for not demanding them to do so at that time! We have simply nodded to them because we thought they will abide by their weird formula that they derived themselves. Now having come so far, we have lost the right to raise that point here, so we continue to simply nod to what they preach us!)
“So to resolve the conflict between the two observers and confirm which clock actually experiences time dilation, we need to bring both the clocks together – either the west ward moving clock A must reverse its direction and drive back to the platform or the platform based clock O must move east ward and reach the spot where clock A is.
But either of these steps (i.e. changing the direction of clock A or moving the stationary clock O towards A) to bring the clocks together involves phases of acceleration and so we need to apply general relativity(GR) and not special relativity(SR) to calculate time dilation. GR predicts that time dilation occurs for objects/ clocks that experience acceleration (or gravity) –So if clock A is the one that moves back to the platform and undergoes acceleration, then without doubt this would be the one that would have experienced the time dilation and hence ticked slower. But if it is the platform clock O which moves and hence undergoes acceleration, this would become the one that would have ticked slower. Thus General relativity resolves the conflict”.
To summarize the conflict and the ridiculous solution –
According to the platform observer, clock A runs slower than clock O. But according to the passenger inside the moving train, clock O runs slower than clock A. So each observer claims that it is the other’s clock which ticks slower. Though each observer’s perspective is equally valid, this obviously leads to a paradox. Resolving the paradox apparently needs bringing the clocks together during which GR comes into action and apparently resolves the paradox. Mind boggling stupidity! And this is how they also resolve the twin’s paradox. (Twin’s paradox is just another manifestation of relativity mania- No sane person will accept any such paradox even in theory)
But what if both clocks undergo equal acceleration and meet at a midpoint – this should nullify the effects of GR. We need to get ready for an even more stupid explanation from the relativists to resolve the time conflict in this scenario.
Stupidity of simultaneity
With respect to us in the west bound train (clock A), the east bound train (clock B) is moving away from us at a faster velocity (v+) than the stupid observer standing on the platform. (Relativists have a weird formula of adding velocities, so they don’t agree if we say that the relative velocity of east bound train with respect to us is ‘v+v’. So to avoid the confrontation with them on this issue, I am just using ‘v+’ and not ‘2v’)
So we predict more time dilation for clock B than clock O. For example if our clock ticks 100sec, clock O may tick 96sec and clock B only 90sec.
Again, because motion is a relative thing, passengers in the east bound train (with clock B) have every right to claim that they are at rest. So with respect to them, clocks O and A are moving away from them with velocities v and v+ respectively. So using the same mathematics of time dilation, when their clock B ticks 100sec, they predict that clock O ticks 96sec and clock A ticks 90sec.
So here is a situation where three observers predict different readings for their clocks despite using the same formula to calculate time dilation.
Stupid observer on the platform thinks- when his clock O ticks 100sec, both clock A and clock B (both moving at velocity v) tick 96sec.
West bound passengers think – when their clock A ticks 100sec, clock O (moving at velocity v) ticks 96sec and clock B (moving at velocity v+) ticks 90sec.
East bound passengers- when their clock B ticks 100sec, clock O (moving at velocity v) ticks 96sec and clock A (moving at velocity v+) ticks 90sec.
It is immediately obvious that time dilation is a mere delusion created by the weird mathematics of relativity built upon the stupid notion of constant speed of light.
But as I said stupidity always wins over logic. While sane people are restrained by the need to be reasonable and logical to propose or oppose anything, stupid relativists have no such restraints.
They will now go one level higher in their stupidity and propose that simultaneity is relative. By this they mean that two events taking place far apart in space if noted as happening simultaneously by one observer may not be simultaneous according to another observer.
“So the reason for the apparent discrepancy between the three observers is that events (clock readings) that are thought to be simultaneous according to one observer are not simultaneous according to the others and vice versa. They are all correct in their own reference frames but they can’t be compared as such because simultaneity is relative” the relativists argue.
We can go on exposing their stupidity at each and every level but it will be an endless process as they keep on proposing increasingly stupid things. Rather than going through this endless exercise and waste our time and effort, we can straight away prove their foolishness by analyzing the twin flight experiment which they swear upon as strong proof of time dilation. Apparently the clock in the east bound flight ticked slower than the one in the east bound flight. Even if we believe in the data of twin flight experiment, that can only be considered as consistent with relativity only from the reference frame of the earth bound observer. When a passenger from the east bound flight looks at the same data, he will obviously find it contradictory because from his perspective, it should have been the west bound clock that should have experienced time dilation and hence should have ticked slower.
Of course relativists may claim ‘copy rights’ over the historic twin flight experiment and may argue ‘how others can analyse their experiment?’. They may demand us to re do the experiment with our own flights and atomic clocks going around the earth several times!
Vertically moving clock
Another way of proving the stupidity of the relativists is to apply their own weird explanation to a ‘vertically’ moving photon clock.
Imagine that the stupid relativists are again standing on the platform facing north while we are travelling in a train with our own photon clock at velocity ‘c/2’ north wards.
According to the stupid observers, the photon in our clock travels a distance of 1.5m during the first half of the tick, but travels only 0.5m during the second half of the tick. But overall the photon travels a distance of 2m for 1tick.
So according to them, using the same reasoning they gave us earlier while deriving the time dilation formula, we in the train must be experiencing time dilation during the first half of the tick and time contraction during the second half but as a whole time runs the same for both of us. So despite the fact that we are moving at c/2 velocity, our time runs at the same rate as that of the stupid people standing on the platform. This should surely put a check to their stupidity if they possess the least logical sense.
Pendulum clocks and gravity
Relativists emphasize that the weird phenomenon of time dilation is not something that only light clocks experience. Because time itself slows down in moving frames, all clocks will slow down exactly by the same factor as determined by the time dilation factor. And they go on to preach that- it is not just clocks that slow down but all phenomena including aging process slow down as time runs slower in moving frames.
While I have explained elsewhere why slowing of a physical process can’t be imagined as slowing of Time itself, I would like to mention here one important thing that will immediately prove the relativists as stupid. According to the weird thinkers, time runs slower in stronger gravitational fields. If that was true, then all clocks must run slower with increasing gravity. But see how a pendulum clock gets affected by gravity from the following equation
Period of a pendulum T =2 π√l/g
Where ‘l’ is the length of the pendulum and ‘g’ is the acceleration due to gravity
(http://hyperphysics.phy-astr.gsu.edu/hbase/pend.html)
The period of a pendulum is the time it takes for it to move from the neutral position to one side and then to the other side and finally back to the neutral position. In other words it is the time taken by the pendulum clock to tick once. From the above equation, we can note that a pendulum clock ticks faster in stronger gravitational field and vice-versa. It is opposite to what the relativity preaches and how an atomic clock probably would behave.
Every clock works via some underlying physical process. How each clock behaves in any particular environment depends upon how its underlying mechanism gets affected by the environment and the forces acting upon it. Each physical process may get affected differently by different forces – some processes may get slowed and some may get speeded up while some others may remain unaffected. So, slowing or speeding up of a clock is not same as time dilation.
Relativity vs. stupidity
Relativity is so stupid that we can consider the same as synonymous with stupidity. In fact we can propose a theory (similar to relativity) on the stupidity of relativists –
Rule1- Relativists are the most stupid people on the earth.
Rule 2- Their stupidity is constant to every observer on earth.
Just by talking to any relativist, we can prove this theory. We don’t have to look at the pulsars or wait for the solar eclipse to come, or go around the earth with ‘accurate’ atomic clocks.And most importantly we don’t have to resort to weird thinking.
Overthrowing someone’s theory doesn’t automatically make that someone stupid. For example Ptolemy’s geocentric model of the Universe was thrown away later by better reasoning in the wake of newer information gained as part of the mankind’s ongoing quest to understand Nature. But that shouldn’t make Ptolemy and his followers any stupid, because the model was true and very much logical up to that point of time.
But that’s not the case with the theory of relativity. We don’t need any newer information or more sophisticated experiments to disprove the absurd theory which the modern physicists hail as the greatest scientific theory and whose principles they chant every day. Disproving relativity just involves exposing the relativists’ weird thinking and their stupid interpretation of the various experiments. So unlike the case with the Ptolemy’s Geocentric theory, disproving relativity also proves relativists as stupid.
The stupid thinkers claim that their weird theory has been proved beyond doubt by many experiments. Obviously no experiment straight away supports any theory but the data needs logical interpretation to arrive at correct conclusions. If some folk strongly believes that our world is fundamentally weird and hence declares that logic isn’t the best way of understanding nature, how can we expect such weird folk to draw logically valid conclusions out of any experimental data?
No doubt that, physicists are the most intelligent crowd amongst the humans and I agree that we all need to respect them for advancing our knowledge and technology. But what if they get affected by a mania and that mania masquerades as science? It will be a big shame not only to them but to all the humans. It will also be a shame to our Planet Earth if some aliens realize how stupid the most intelligent race on earth thinks! So to save science from weird theories and to save ourselves from the embarrassment, our physicists must be rescued from the relativity mania.
Go to Next Page
Go to Previous Page
Go to Main Index








![IMG_1147[1]](https://sciencevstruth.org/wp-content/uploads/2014/01/img_11471.jpg?w=215&h=161)
Comments
Hi, I’m just reading through your website, and its very interesting. I was wondering, engineers take time-dilation into account when they send up satellites. For example, GPS atomic clocks are given a deliberate mis-alignment before launch in order to account for time-dilation. So can this also be explained using classical physics? Thanks.
For that you may go through the following page
http://debunkingrelativity.com/miscellaneous-evidence/
I can provide further explanation if that doesn’t help.
Hi, you mention a lot about logic and so forth in your argument. If I understand the theory or relativity correctly, one must first assume that light speed is constant irrespective of the observer. You argue against relativity but seem to disprove it by stating that c is not constant (e.g., you state “…according to the sane observer on the platform, the photon not only moves north ward with velocity ‘c’, but it also moves east ward with velocity ‘v’ which is nothing but the velocity of the train). My question is this: if in some way the speed of light were definitively proven to be constant, do you agree with the conclusions of special relativity? I.e., is your argument against relativity based on your assumption that light speed is not constant?
I am not disproving relativity by merely stating that c is not constant. Obviously the assumption of constant speed of light is so illogical that one doesn’t have to stress too much about that. Rather what I have done on this blog is to expose how relativists misrepresent and misinterpret things (e.g photon clock) to support their weird belief.
‘if in some way, speed of light were definitely proven to be constant, do I agree with special relativity?’ No!
Before I answer why, let me put you a similar question, “if in some way, all Natural numbers were to be proven as equal to one another, do you agree with the conclusions of a theory built upon that weird notion?” The proposition that all Natural numbers are equal to another is so illogical that trying to prove that proposition simply amounts to stupidity. If someone claims that he/she had experimental proof for the stupid assumption, he/she must have resorted to some weird maths or misinterpreted the experimental data.
Logic is the basis of all human knowledge including science. No experiment or observation straight away proves or disproves any theory. One has to logically analyse the data and logically interpret the observations to prove or disprove any theory. Otherwise any silly observation or experiment can be argued as proof of any stupid theory. For example, an illogical mind may argue flying kites as proof of return of Dinosaurs onto the Earth after about 4000 years. If you try to argue against his prediction, the stupid mind may demand for proof against his stupid prediction, just like how our modern physicists demand for proof against the stupid theory of relativity. When all the observations can be explained by better logic why resort to weird predictions and cling to weird theories based upon those predictions?
Hi,
I always had trouble grasping the concept of time dilation.
I remember my physics professor giving this exact example as proof.
But then I’ve asked him, what if the photon was to be shot at a reverse angle so that the stationary observer would see it moving in a straight line (compensating for the forward speed of the clock), and relative to an observer moving with the clock it would seem to be moving in a zig-zag motion?
Wouldn’t this mean that time dilation effects would be reversed?
Any sane person would feel the same.
Your argument is highly logical and that’s exactly what I have argued under the ‘vertically moving clock’.
When ever one raises such logical objections to relativity, the ‘learned’ professors of physics reply by saying something like this:
“Do you mean that Einstein and other great physicists are wrong and you are the only intelligent person on Earth?”
“The problem is that you don’t understand the maths. There is overwhelming proof in support of time dilation” and so on. (Despite the fact that we showed them the required maths and explained why muon’s time dilation etc don’t prove their religious theory)
In summary they simply want us to religiously chant what the great physicists have preached us! And if any of their teachings sound weird and illogical to us, we must accept that as due to our ignorance.
So to avoid being labelled as ignorant, the ‘intelligent’ crowd sings ” the Emperor’s costume is marvellous”
I have spent much time studying this fascinating site, most i agree with, but what i don’t get is why the light of a photon clock would travel the same way as say a mass object in a moving frame.
If you throw a ball up in the air to hit a a cross on the ceiling (stationary) you will get the same result as if you are travelling at a constant speed.
Relativity, and the above, assume that light will do the same, that it will travel straight up and hit the cross exactly as it would have done when stationary.
When you throw a ball in motion, it contains the energy of your motion – sound waves don’t propagate like this, and i can’t believe that light would – there must be some difference.
Although i question whether EMR is massless and free from source, it’s mass must be minimal and not as connected to source as a thrown mass object.
I wonder if light in a moving frame shone vertically would actually move perfectly vertically and hit the same cross on the ceiling as when stationary,as a ball would.
i hope this is clear – this aspect of lorentz transformation has troubled me for some time.
I see your point. Whether sound waves behave like a ball or not depends upon whether the surrounding medium moves with the apparatus or not (i.e. whether there is frame dragging or not).
If we ‘throw’ some sound waves towards the ceiling, they travel vertically up and return vertically down even if the train is moving as long as the compartment is air tight. The air inside the compartment moves with it (complete frame dragging)
But if the compartment is open front and back, air doesn’t get dragged (or only partially gets dragged) by the moving compartment. So the sound waves travel in a different direction with respect to the ceiling or the floor.
Similarly is the case with light waves. As the photon clock moves in space, Ether probably gets partially dragged with the mass of the clock. But it is unlikely that there would be complete dragging.
The descrition of a train and station is not right. It would be the the person on the train who would see the photon travelling the longer path and the person on the platform who would see the shorter path.The photon would not carry the horizontal velocity of the train and so the person on the train would see the mirrors and themselves as stationary and the photon moving in a double diagonal path to the right with respect to the mirrors. The photon is not moving sideways relative to the person on the platform and so the person on the platform would see the photon moving straight up and down with no horizontal movement and the mirrors moving sideways to the left.
However the the photon clock on the train would still keep the same time as the stationary one on the platform because the mirrors velocity is perpendicular to the photons velocity and so the distance the photon moves to complete transits between the two mirrors is not affected.
Well that would be the case only if we believe that the photon’s motion doesn’t get affected by the motion of the source and if there was no ether drag at all. And even going by your explanation, we can show that time dilation is a myth.
Just thinking aloud here.
The ‘fact’ that light propagates in a moving frame (constant speed) the same as it would if say the carriage was stationary is highly significant, in challenging relativity.
(the same with throwing a ball up in a train moving at a constant speed: it moves the same way as if you were stationary.)
In the case of light there is no interference.
If the theory of SR had any credibility, light projected upwards in a straight line in a moving train (constant speed) there would be an interference as it would project up at less than 45 degrees towards you. This is because relativist say light is a far field/ free from source and does not require a medium. But the lack of interference is covered up and distracted by the ridiculous time dilation argument where light travels at the same speed but a longer distance therefore time is dilated?!
it is more logical, as you say, to conclude that light is connected to source more than we are led to believe and it is propagating through ether.
Great piece!
I think special and general relativity are probably true, but it is clear that the explanations we receive in college suck. If a “good” explanation is really difficult, they should say that, and at least tell us we are about to receive a “crappy” explanation because it’s the only explanation within our reach at a low level.
I have a ton of question for relativists. But I want to stick to questions with an objective answer.
Here is one I would like to ask relativists: We have a tall white ceiling, and a train track on the floor. The ceiling is marked with “0” directly above where the track begins, and every millimeter after that of the ceiling is marked off, and this is directly above the track. So the ceiling reads 0,1,2,3,4,5,…… We also put the same marks on the floor, directly below the marks on the ceiling. So the marks on the floor and ceiling correspond to each other. We put a cart on our track and give it a velocity of c/2. Our cart shoots a massive but practically instant laser vertically upward when it reaches the 1,000,000 millimeter mark (as seen on the floor). The light from the laser will eventually hit the ceiling and scatter in every direction to all observers. And the location of impact on the ceiling will be marked with our ceiling markers. All observers will see the same location of impact (because they all see a brief dot on the ceiling with a number next to it). It can’t hit 1,000,001 for some observers and 1,000,002 for others because that would imply it impacted different atoms on the ceiling. So all observers will see the same location of impact whether they are observers in the cart or on the ground. Assuming the ceiling has a height of 1km, where does the light from the laser hit the ceiling? At the 1,000,000 mark? At the 1,000,001 mark? 1,000,002? This question is designed so that a relativist can’t wiggle out of it. The answer will be a number. And in some ways it’s more fundamental than the time dilation problems. I would like an answer to this question before I see their time dilation arguments.
If there is some fundamental feature of the universe that makes my question invalid, I wish they would preemptively address it before jumping straight into their time dilation argument that involves shooting lasers at the ceiling.
Another question for them: Let’s say a baseball is the only object in space. We shouldn’t be able to tell how fast it is moving as there is nothing to use as a reference. So speed means nothing. But suppose the baseball has the density of a neutron star. At that point I think you could assume it’s moving pretty fast since mass increases with speed. But maybe this increase in mass is only observable from a different frame of reference? Like the amount of gravity another object would experience as our baseball flew past it? I wish they would hammer down answers to these and hundreds of other questions before moving on.
‘Of course they are not stupid until this point.’
No. They are stupid at this point because they supposed that light speed is independent of source yet conveniently weasel in the horizontal velocity of the reference frame and force the ray to cover their diagonal distance. If they truly believed in the constant light speed thing then the light ray would emerge from the source vertically and if the distance of the mirrors is sufficiently great with the frame moving at high enough speed the light ray would just miss the second mirror ending the experiment there itself.
I am preparing a primer on time itself and will be glad to share it with you. It would shit on world view of time itself and screw relativity bigtime.
True. And when relativists talk about the perpendicular light beam in Michelson’s experiment, that stupidity becomes even more striking. http://debunkingrelativity.com/ether-wind-and-ether-drag/
I look forward to read your primer on Time.
I think the matter is even simpler as it is a pure confusion between the light source and the light itself (photon in this example of light clock). And it is not about any weird property of massless particles: take for example a man with an arch in a moving train. He release an arrow in the direction of the movement of the train. The velocity of the arrow is compounded with the velocity of the train? Obviously not! If further argument is nedded that are not compounded, presume that after the arrow is released, the train accelerates: would you believe that the arrow flying in the air misteriously accelerates also?
It is the same with light: after it is released from its moving source the moving train has no inluence on it,either in the direction of the moving, or perpendicular as in the light clock example.
It seems to me the double diagonal path is only derived by associating the photon motion with the wrong reference frame, or system (that being the “Inner System”), as Steven Bryant would say. (Nevermind how the photon becomes diagonally directed in the first place? The fact is, the diagonal path is an optical illusion. The photon actually travels vertically.) Would you agree, drgsrinivas?
http://stevenbbryant.com/2017/03/twist-episode-7-relativity-and-its-mistakes-explained/
Well, not really Robert.
Imagine that a passenger throws a ball upwards inside a moving train. For an outside observer, the ball would obviously travel in a diagonal path. Before the ball is thrown upwards, the platform observer would see the ball traveling in the horizontal direction along with the train. And when it is thrown up, he would see the ball acquire some vertical motion also. So he would see the ball move in a diagonal path. Same is the case with the photon.
We can’t argue that the ball’s horizontal motion is an illusion, if it was so, then the horizontal motion of the train must also be an illusion!
Doctor, thank you for your response. I agree with your analysis, but let me try again, as my intent is to provide a simple answer to the nonsense of time dilation in the YouTube video below without having to challenge speed of light doctrines or get into “complicated” math equations).
I see it as a matter of context, or reference frames. I misspoke in my original comment when I said “inner.” I meant to say “outer.” There is the reference frame of the steady moving train car (the inner system, or immediate context), and then there is the reference frame of the “stationary” train station, tracks, etc (the outer system).
If I am standing on top of the steady moving enclosed train car and the roof is transparent, all I see of the oscillating photon or ball is a point (the cross-section of a line). If I attach myself to one side of the moving train car and that side is transparent so that I can see inside, all I see is the photon or ball moving in an oscillating vertical motion. And indeed that is the case. Agreed so far?
It is only when we plot the motion of the photon or ball against a secondary/outer reference frame, such as a wall that runs along the train tracks, that we get the double diagonal pattern. It might look like the ball has a diagonal component to its motion, but that motion is actually only the horizontal motion of the train. The ball itself doesn’t have a diagonal bearing to its motion. (Nevermind that it was never fired in a diagonal direction.) Yes, when considering its over all motion with respect to the train tracks and background wall, we have to add the motion of the train to the motion of the ball. But the longer diagonal distance traveled by the ball, in comparison with that of a stationary clock, doesn’t not mean it took longer to travel that distance. Agreed?
I love your site and all the work you’ve put in here.
Respectfully,
Bob
Time is using the progressive nature of the number line to track an event wrt a reference event.
The reference event is repetitive.
The number of repetition is thus associated with a given state of an entire event.
Time is thus memory of states used to predict consequent states. Its purely imaginary.
Imagine a continous cookie ejecting vending machine. One Chocochip(second) is defined as the duration between two consecutive cookie ejections.
Thus, i can say my birthtime is 70 Chocochips(seconds).
Time travel:
Present to past: The consecutive states of a system are achieved through causality or rather rules of physics.
If a system manages to reach a previous state then it has in fact moved into the “future” and attained the state through causality.
Notions about moving to a previous state without following the rules of causality is akin to imagining infinite parallel universes which can be traversed and are still somehow connected to affect each other.
Consequently, moving to a “future” state instantly is also breaking causality to reach a particular state.
Thus, time travel is simply wanting a different present bypassing causality.
Feasibility of reversing causality and accelerating it wont be dealt with here.
Time Dilation or Time slowing:
Slowing of time actually means slowing of all activities in the event wrt a reference.
In short it is the slowing of change. Example of time slowing is to watch a video with slowed speed.
Every action is slowed proportionally. Every shrill sound also converted to a heavy sound.
Particle Clock-
Replace the mirrors in the Light Clock with particle ejectors.
Bottom ejector ejects a particle out upwards with velocity c (blasphemy!).
When this particle reaches the upper ejector’s plane the upper ejector releases a different particle downwards with velocity c.
Distance between ejectors is L. Period for observer that is moving with the system will be 2L/c.
Period for the observer at rest and watching the system move at velocity v to the right will also find the period to be 2L/c.
This is because a particle need not be concerned with the constant speed law for light postulated by relativists.
It will not sacrifice its vertical velocity to satisfy the above law like light.
The particle clock and light clock will measure different periods in the moving frame and thus there is not a constant slowing of time.
How can a system selectively slow something but not the other? More importantly how can someone conclude the Twin on earth and spaceship
experiment with just a light clock thought experiment. At most it should be treated as an optical illusion.
Also, this is nowhere near our video slowing example which atleast slows proportionally.
Thus, relativity is a hoax.
Minkowski spacetime-
When there is no change in a system. Time is unnecessary. Its only utility is to track change.
However Minkowski spacetime will make a still object travel through time as if its real.
It fails to understand the purpose of time in the first place. Rest is mathematical gymnastics.
Id like to grill Minkowski spacetime and relativity more but this is a primer and ill have to stop here.
I will work on temperature next as i feels thats unnecessary aswell. I havent done the groundwork for it though.
Regards,
PanditG
You argue on a basis of “logic”, however, I feel as though you are merely confusing illogical with unintuitive. These are not the same thing. While something may be hard to grasp or see physically does not mean that it is not true. You should not throw out a conclusion just because you find it unintuitive and hard to grasp, especially when that conclusion not only provides a description of known observed phenomena, but also predicts previously unknown phenomena.
A hypothesis can be considered illogical when it is inconsistent with its previous statements or axioms. For example, the claim made here that the speed of light is non-constant wrt reference. This is inconsistent with Maxwell’s Eqn which describe electromagnetic waves moving with constant speed c irregardless of frame. In fact, Maxwell’s complete equations are Lorentz Invariant, and set up the foundation for early studies in Relativity.
The fact that the speed of light is constant c=3.0*10^8m/s is not only experimentally proven, it is consistent with modern physics as we see it today. This includes (but is by no means limited to) Maxwell’s Eqns, the Dirac Eqn, and all of elementary particle physics.
If your theory provides no accurate description of the following known observed phenomena (and further predicts new phenomena) then it is moot: gravitational waves, expanding universe and the Hubble redshift, cosmic horizon, spin-1/2 fermions, antimatter, the cosmic microwave background, black holes, …
A few possible predictions for any new self-consistent and modern-physics-consistent theory to make: dark matter problem, dark energy problem, baryogensis, matter/antimatter asymmetry, …
Science is coming to truthful conclusions, despite how unintuitive they may feel. If we throw this away for something that merely agrees with common sense, then we might as well still believe the Sun moves through the sky over a flat Earth.
So you argue that Ether hypothesis is illogical because it doesn’t conform to the axioms and sayings of your science religion. Actually, the fact that Ether model doesn’t conform to the absurd beliefs and the stupid axioms of relativity and quantum religions should make you believe that Ether model must be true (not the other way round!).
In modern times, doing science is very. To prove some theory as correct you just have to show that it goes against the absurd twin theories of modern physics. And to disprove a theory you just have to demonstrate the opposite. So we don’t require any laborious or costly earth shattering experiments to prove/ disprove theories. And in my view, this is the greatest achievement of modern physics: now we have a ‘Litmus test’ for Truth!
Paul, I did talk about all those ‘observed phenomena’ and exposed the stupidity of your modern physics religion at various places on this blog. Your strong faith in the ‘established science’ probably prevented you from seeing all that. By the way, to disprove why some religious theory is absurd, one doesn’t need to talk about all the published/ unpublished beliefs and literature of that religion. Rather it is suffice to talk about and explain why the foundations upon which the entire religion is built is wrong. If one has to talk about and address each and every statement of a religion, then it would never be possible to disprove even the most absurd religion on Earth.
Relativity and Quantum pastors are always obsessive of making distinction between intuition, commonsense and rational thinking as that helps them to sell their absurd theories. First the science pastors brainwash their students and make them believe that commonsense and intuition only come in the way of knowing the Science. The faithful students, as they become conditioned by their mentors, give up their commonsense and intuition in their eagerness to learn ‘Science’ and in the process become receptive to all kinds of absurdities. The science prophets then sell their absurd theories to the faithful students whose minds have become a highly ‘fertile ground’ for the absurd theories to grow and flourish as ‘Science’.
But let me tell you that it is ultimately Logic that underlies all of those processes (including maths). The only difference is that while someone goes by intuition or commonsense, one’s mind does the logical deduction process subconsciously, taking into account of the ‘data in hand’ or the immediately available information (something like RAM). In the so called rational thinking or critical thinking, one does the same logical deduction process rather consciously. In the conscious process, one will not just go by the ‘data in hand’ but tries to look for and take into account of the deeper and broader issues before arriving at a conclusion. So one may conclude that conscious rational thinking is superior to commonsense or intuition. While there can no argument about that, there are some very important points to bear in mind.
The depth and breadth of information processing done subconsciously by some individual could be greater than all that involved in the conscious rational analysis by some other individual. That is, great minds could arrive at the truth just by intuition while the ignorant people may not reach that despite using their best conscious thinking (and consuming all the funds in the state).
So intuition doesn’t mean some totally random, haphazard or irrational thinking. Rather it is a subconscious logical deduction process. One’s intuition need not necessarily be inferior to the conscious deduction process of the science prophets. Very often, it is much better.
Paul, you wrote “This is inconsistent with Maxwell’s Eqn which describe electromagnetic waves moving with constant speed c [ir]regardless of frame.” . Another way of interpreting that is to say that his equations did not mention a frame, but that frame is implicitly the frame of the mechanism which emitted the electro-magnetic waves. The mechanism being eg a radio transmitter.
See :- http://www.problemswithrelativity.com/#constancy.
@Paul,
You wrote:
“While something may be hard to grasp or see physically does not mean that it is not true.”
And:
“You should not throw out a conclusion just because you find it unintuitive and hard to grasp, ”
And more statements like that.
Well, I wholeheartedly disagree, as long term visitors here know.
At the moment ‘science’ is way too ‘logical'(left brain oriented).
(Not really logical at all)
Anyway, I believe more in the following statement from Victor Schauberger,
mentioned here before:
“The majority believes that everything hard to comprehend must be very profound. This is incorrect. What is hard to understand is what is immature, unclear and often false. The highest wisdom is simple and passes through the brain directly into the heart”
Viktor Schauberger
I really think he nailed it! And if it is difficult to grasp there is something terriobly wrong with the theory!
Another one from Victor Schauberger:
“Comprehend and Copy Nature”
Viktor Schauberger
But does ‘science’ do this? NO!
Schauberger used IMplosion technology, Very safe and cost effective!
Does ‘science’ or ‘technology’ do this? NO. They use EXplosion! technology!
Being less effective and clean! makes you wonder, doesnn’t it?
Nuff said
Galacar
Paul wrote:
“Science is coming to truthful conclusions”
As I have written on this site before.
The LAST thing ‘science’ want is to give us any TRUTH,
‘science’ is here to cover up and surpress TRUTH.
At the moment ‘science’ is a control tool.(for the PTSB)
If you find out that the same people who have invented the religions to control
the people. are them same who invented ‘science’ It might open yopur eyes to the fact that ut is nothing more then a religion, thinly disguisedm but a religion.
Oh btw try to sell some truth to ‘scientsts’ and then have a ball. lol
Oh yes, I know, I am politically uncorrect. 😉
Namaste
Galacar.
drgsrinivas wrote:
“So intuition doesn’t mean some totally random, haphazard or irrational thinking. Rather it is a subconscious logical deduction process. One’s intuition need not necessarily be inferior to the conscious deduction process of the science prophets. Very often, it is much better.”
Soo true, soo true! (see also my statements on the research into intuition.)
A lot of insights and so on where given by intuition, dreams and what have you.
(Kekule, the sawing machine etc)
Now, of course it always has to be checked by logic in the end.
But then a lot of people make the mistake that if it is logical, in hindsight,
one must have used logic to arrive there in the first place. Which is, as we have
seen, often false.
Another example is a psychiatrist, who works with ‘programmed dreams’ with his patients. He wrote that if he has an answer through those dreams and an answer by the ‘medcine textbooks” he will ALWAYS prefer the answers he receives in the dreams.
Now, isn’t that saying something?
But we have programmed through our ‘educatio’n (indoctrination) to distrust
our intuition.
Why? Because there is were the real (mind) power lies!
The PTSB don’t like that!
Galacar
It’s time I introduce myself to you. First of all, I want to applaud you for such a great web site. You have some insights on Relativity that I had not explored yet.
On this topic of time dilation, if I may put it succinctly, the time it takes for the “ticking” of the clock is going to take a longer time because light travels a longer distance. It doesn’t get any simpler than that yet Relativists have to invent special scenarios. Aren’t they afraid of looking like fools when people like you expose them?
I first learned of this while reading Feynman’s “Six Not-so-easy Pieces” and figured out that time was not dilating at all for the reasons I mentioned previously. But how could I be right and Feynman be wrong? Certainly I must be missing something.
Then I start doing research and find you and others that think like you agreeing with my thoughts as well.
Thank you for your web site. I look forward to reading the site in its entirety.
Bill
Your reasoning seems logical. The trouble is so does the argument prevalent in mediaeval times that you see mice mainly in grain stores, therefore mice are spontaneously produced by grain.
It sound like a logical argument, but using science (not logical argument) showed that it is incorrect.
Science is based around the principle of ‘follow the data’, not ‘follow the logic’
Michael morris, I truly appreciate your genuinely irrational arguments to save your religion. I am not here to contradict your science religion’s principle of ‘follow the data’ blindly and make erratic conclusions.
But True Science is based on the principle of ‘follow the data logically’. No data or observation makes sense unless taken logically/ rationally.
For example imagine that scientists discover that michael’s’ bum is red and itchy. They can’t obviously claim that red and itchy bum as proof that michael is the president of United States! Why? because that is not a logical conclusion from the observation that michael’s bum is red and itchy. Similarly that can’t be argued as proof that speed of light is constant or that particles exist as multiple places simultaneously. Isn’t it? Then what could make a logical conclusion here? It could be that michael had worm infestation or that he was molested anally etc etc.
Please be diligent- I am not contradicting the data or the observations at all. I do agree that light produces wave like interference pattern in double slit experiment, that clocks run slowly on flights, that cosmic muons reach the ground and that michael’s bum is red etc. I am only arguing that the above data can’t be claimed as proof that particles pass through multiple paths simultaneously, that SOL is constant or time dilates or that michael is the president of United States etc.
I never argued that itchy bums produce worms or that grains produce mice. I am aware that it is not logical. Because you don’t bother about logic but blindly go by the ‘data’, you may want to embrace those irrational propositions. Any way they aren’t as irrational as the absurd theories of your modern science religion. So you aren’t committing any major blunder by believing that itchy bums produce worms and so on.
I repeat, without Logic, data makes little sense. It is the logical interpretation and logical extrapolation of data that helps us understand the Universe and the laws of Nature.
Michael Morris, the problem with following the data isn’t a problem of the data, it’s a problem of interpreting the data. When scientists perform experiments of the time measurement taking longer on a moving object they are like the medieval people you mention. They are seeing a result and misinterpreting it.
You see, they are looking at the measurement of time taking longer and interpreting it that time slows down. They aren’t taking into consideration that the object is traveling farther between ticks of the clock, or in the case of an atomic clock between the cycles of a cesium atom.
So with the equation of: time=distance/rate, if the cesium atom is traveling a farther distance and the rate stays the same, the time it takes to make a tick of the clock will be longer (as shown in the picture above). It’s not a case of time slowing down but a case of the time keeping device traveling futher.
It just doesn’t get any simpler than this. It’s science learned in elementary school yet Einstein and Hawking and Feynman and others must all hold on to their errors in interpretation in order for their god (Relativity) to be true. If they would have conceded Relativity were not true their reputations would crumble.
michael morris wrote
“Your reasoning seems logical. The trouble is so does the argument prevalent in mediaeval times that you see mice mainly in grain stores, therefore mice are spontaneously produced by grain.
It sound like a logical argument, but using science (not logical argument) showed that it is incorrect.
Science is based around the principle of ‘follow the data’, not ‘follow the logic’ ”
Allright, here we go:
“Your reasoning seems logical”
Seems?? Hmm no it is.
“The trouble is so does the argument prevalent in mediaeval times that you see mice mainly in grain stores, therefore mice are spontaneously produced by grain.”
lol, now that is what I call a strange, and of course very faulty analogy.
Hence it is no logical reasoning at all.Talking about lack of logic!
“but using science (not logical argument) showed that it is incorrect.”
If science contradicts logic there is something really wrong with science, mate!
And if you had read this whole site, you would know that, or at least understand that a lot of people here see that ‘science’ is just another religion.
Well, if it is another religion, of course it is logically flawed, mate!
The whole of ‘science’, yes ALL OF IT, is put here to keep us from any real truth.
There is no truth in ‘science’ at the moment.
“Science is based around the principle of ‘follow the data’, not ‘follow the logic’ “”
It isn’t as simple as that. You are obvioulsy deep indoctrinated with the religion of ‘science’.
Please study some history of ‘science’ and you can easily see this to be very untrue,
Think about this. How can you pick the data if you have no theoretical structure or any hypothesis.
If one has not and one wants to pick the date, which data? The amount of dust on moonrocks? the tilt of the earth? The total amount of rain?
The sex of the experimentrer, Humidity? length of your teacher? what????
Get it?
My two cents
Namaste!
Galacar
“You see mice mainly in grain stores, therefore mice are spontaneously produced by grain”
Muhahahaha!
It is predictable! Whenever we debate about science claims, someone will always come with some symplistic lecture of what science is! A good reminder is that just because humans can define some rigid practise as ‘science’ does not mean that anyone is practising such. Yet it is this fallacy that is at the heart of lots of slopy thinking in our society.
But let me zero in on the problem with Paul’s analogy. There is no logic that say that if something is always found in such and such enviroment, then it must be spontaneously created by the enviroment. People who ‘follow the logic’ donnot make such stupid conclusion! On the contrary, it is people who ‘follow the data’ who often jump into such eroneous conclusions and that analogy perfectly exemplify the things that we complain of with regard to mainstream science.
Mainstream science does not just sit back and let the universe speak its own story. It does not simply quietly observe the ‘mice’ and ‘grain’ and stop at just that: we have seen mice and grain, we haven’t yet seen some event as ‘spontaneous appearance of mice’. The latter is an INFERANCE that we have made via a FALLACIOUS REASONING and not via ‘following logic’. Logics sits at fence in such matters.
Using concrete examples, mice seen in the vicinity of grains is just analogous to a clock seen in the vicinity of gravitating object. ‘time’, however is entirely unobservable! ‘Time dilation’ is exactly on the par with ‘spontaneous appearance of mice’. These are not the things we OSERVE in the universe. These are things we INFERE from what we observe by performing fallacious reasoning with our minds.
So Paul, wake up! There is not such a discipline as ‘science’ wherein we entirely ‘follow the data’. That is just yet another impractical idealization that is too much for a human being with his limitation and instictual tendencies. Most talk of what ‘science’ is or does are just plain simplistic!
Galacar: “The whole of ‘science’, yes ALL OF IT, is put here to keep us from any real truth. There is no truth in ‘science’ at the moment.”
Galacar, I think it should definitively be worth to you to give a look to the Flat Earth Society web site (http://www.theflatearthsociety.org/home/index.php/about-the-society).
They are not only lying to us about relativity or other weird things, they also try to hide from us the real shape of the earth: flat. Basic common sense is enough to understand that earth cannot be a sphere. I mean, everybody can see it is flat. But this stupid idea has popped up long ago from some stupid mind and every other brain-dead pseudo-scientific guys religiously kept pretending the earth is spherical. Worse, we learn it at school and now everybody is convinced this is the truth. Every child understands this cannot be. But sadly we keep explaining to them this is possible thanks to the stupid idea of gravitation and other weird theories they had to invent to keep the whole thing consistent.
I’m sure those stupid scientific like this kind of non-sense explanations because it is full of complex and weird mathematics that they are the only ones to understand. This should make them think that they are superior to us. Too bad that the world is going that way
JSG, you clearly haven’t read all my postings here.Not that you have too, of
course but in one of them I adress the flat Earh issue.
Namaste!
Galacar